걸쭉하고 묽음을 나타내는 ‘점도(Viscosity)’

기온이 높고, 습도도 높은 장마철이네요! 덥고 추움은 ‘기온’으로, 습하고 건조함은 ‘습도’로 표현을 하는데, 걸쭉하고 묽음은 무엇으로 표현할까요? 오늘은 일상생활에서 흔히 접할 수 있는 표현에 대한 과학적 해석을 알아보도록 하겠습니다.
01
‘걸쭉하다’의 과학적 표현, 점도(Viscosity)

평범한 아침, 시원한 물로 입을 적신 후에 진한 올리브오일을 듬뿍 뿌린 샐러드로 입맛을 돋웁니다. 여기에 꾸덕꾸덕한 땅콩버터를 식빵 위에 나이프로 펴 발라서 먹으면 든든한 아침밥이 되죠!
식탁 위에 있는 물, 올리브오일, 땅콩버터 이 세 물질을 비교해볼까요? 물은 용기에 따라 모양이 잘 변하고 흘러내리는 반면, 올리브오일은 물보다는 끈적하니 흐름성이 떨어집니다. 땅콩버터는 나이프로 힘을 주어 펴 발라야 하고, 빵에 발린 이후에는 흐르지 않고 형태를 유지하고 있고요. 쉽게 말해 물, 올리브오일, 땅콩버터 순으로 변화를 주기 위해 필요한 힘이 커지는 거죠!
이처럼 가해진 힘에 대해 저항하는 정도를 ‘점도(viscosity)’라는 물리량으로 정의할 수 있습니다. 즉, 저항하는 정도가 낮은 물은 점도가 낮고, 저항하는 정도가 큰 땅콩버터는 점도가 크다고 표현할 수 있답니다.
02
점도의 물리적 의미

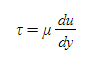
점도를 수학적으로 접근을 해봅시다. 평행한 두 평판 사이에 이상적인 유체가 차있고, 아랫판은 고정한 채 윗판만 x방향으로 τ의 힘으로 당긴다고 가정해볼게요. 그러면 유체는 y방향으로 u의 속도 구배가 생길 테고, 큰 힘으로 당길수록 속도구배는 커지게 될 것입니다. (τ ∝ du/dy) 이때 유체의 점도(μ)가 클수록 잡아당길 때 드는 힘이 더 커지겠죠? (τ ∝ μ) 이를 조합하여 식으로 나타내면 다음과 같습니다.

우리가 구하고자 하는 점도(μ)의 단위는 위 식에서부터 힌트를 얻을 수 있습니다. 힘 τ는 N/m2 , 속도구배 du/dy는 sec의 단위를 가지므로 점도(μ)는 N/m2*s, 즉 Pa*s로 나타낼 수 있습니다. 일반적으로 점도를 처음으로 정의한 프랑스 과학자 Poiseille의 이름을 따서 Poise(푸아즈)를 사용하는데 이 단위가 크기 때문에 100분의 1로 줄여 cP(centi-poise)로 많이 씁니다. 국제단위계로 환산하면 1cP=0.001Pa*s와 같답니다.
03
뉴턴(Newtonian) 유체와 비뉴턴(Non-newtonian) 유체

점도는 물질의 특성에 따라 주변 환경에 의해 변할 수 있습니다. 물이나 오일은 일정한 온도, 압력하에서 아무리 힘차게 저어주어도 점도가 변하지 않고 일정한데, 이런 유체는 뉴턴(Newtonian) 유체라고 합니다.
반면에 외부에서 가해 주는 힘(shear rate)에 따라 점도가 증가하여 점점 더 흐르기가 어려운 상태가 되는 물질은 ‘Shear-thickening’ 성질을 갖고 있다고 표현합니다. Thick(두꺼운)라는 단어를 Thickening(걸쭉한)이라는 농도를 표현하는 의미로 사용하는 거랍니다! 반대로 shear에 따라 점도가 감소하는 경우에는 thick(두껍다)의 반대 표현인 thin(가늘다)을 이용해서 ‘Shear-thinning’이라고 부릅니다. 이처럼 shear에 의해 점도가 변하는 유체는 비뉴턴(Non-newtonian) 유체라고 합니다. 대표적인 예로 시멘트나 전분은 저어줄수록 걸쭉해지는 shear-thickening 성질을 갖고, 요거트는 저어줄수록 묽어지는 shear-thinning 성질을 갖는 non-newtonian 유체랍니다.
점도의 종류까지 알아봤으니 다음으론 점도가 우리 실생활에 어떻게 녹아있는지 알아봅시다.
04
점도의 산업적 응용 사례

앞선 아침 식탁 위에 있던 물, 올리브오일, 땅콩버터의 점도를 비교해볼까요? 상온에서 물은 1cP, 올리브오일은 80cP, 땅콩버터는 250,000cP의 점도를 갖고 있답니다! 물보다 훨씬 큰 이 숫자만 봐도 땅콩버터는 뒤집어놔도 흘러내리지 않을게 예측이 되시죠? 케첩이나 마요네즈도 먹기 좋은 점성을 갖고 있도록 제조된 것처럼 많은 식품들에서 점도의 개념이 유용하게 활용되고 있답니다.
점도는 일상생활뿐 아니라 산업에서도 중요한 정보로 활용됩니다. 송유관에서 원유를 이동시킬 때 원유의 점도에 따라 어느 정도의 압력을 주어야 하는지를 예측할 수 있어서 펌프와 배관을 손상시키지 않을 수 있답니다. 고분자 물질의 점도 변화 분석을 통해 압출, 사출 등의 가공 조건을 잡을 때 활용하기도 하구요. 페인트를 칠할 때도 페인트가 지나치게 묽어서 모두 흘러내려버리거나 잘 안 발리면 문제가 되겠죠? 뿐만 아니라 화장품 바를 때 로션이 너무 묽거나 끈적하진 않는지, 치약을 적당한 힘으로 짤 수 있을 정도인지 등을 판단하는 척도로도 활용돼 이와 관련된 연구도 활발히 이루어지고 있습니다.
오늘은 우리 일상생활에 녹아있는 ‘점도’에 대해 알아보았습니다. 다음에는 더 재미있는 과학 이야기로 돌아올게요!
(글 : 한화토탈 정혜영 과장)
종합 케미칼 & 에너지 리더,
한화토탈에 대해 더 알고 싶다면?


